在精密鋼管的生產過程和檢驗過程中經常使用到百分表,有些精度要求高的甚至要用到千分表,為了讓大家對這兩種表的使用有更深入的了解,今天特整理資料如下,希望對百分表和千分表的使用方法有不明白的地方的人有所幫助。
由于千分表的讀數精度比百分表高,所以百分表適用于尺寸精度為IT6~IT8級零件的校正和檢驗;千分表則適用于尺寸精度為IT5~IT7級零件的校正和檢驗。百分表和千分表按其制造精度,可分為0級、1級、2級三種,0級精度較高。使用時,應按照零件的形狀和精度要求,選用合適的百分表或千分表的精度等級和測量范圍。
使用百分表和千分表時,必須注意以下幾點;
1、使用前,應檢查測量桿活動的靈活性。即輕輕推動測量桿時,測量桿在套筒內的移動要靈活,沒有任何軋卡現象,且每次放松后,指針能回復到原來的刻度位置。
2、使用百分表或千分表時,必須把它固定在可靠的夾持架上(如固定在萬能表架或磁性表座上,圖1所示),夾持架要安放平穩,免使測量結果不準確或摔壞百分表。
用夾持百分表的套筒來固定百分表時,夾緊力不要過大,以免因套筒變形而使測量桿活動不靈活。

圖1 安裝在專用夾持架上的百分表
3、用百分表或千分表測量零件時,測量桿必須垂直于被測量表面。圖2所示。即使測量桿的軸線與被測量尺寸的方向一致,否則將使測量桿活動不靈活或使測量結果不準確。

圖2 百分表安裝方法
4、測量時,不要使測量桿的行程超過它的測量范圍;不要使測量頭突然撞在零件上;不要使百分表和千分表受到劇烈的振動和撞擊,亦不要把零件強迫推入測量頭下,免得損壞百分表和千分表的機件而失去精度。因此,用百分表測量表面粗糙或有顯著凹凸不平的零件是錯誤的。
5、用百分表校正或測量零件時,如圖3所示。應當使測量桿有一定的初始測力。即在測量頭與零件表面接觸時,測量桿應有0.3~1mm的壓縮量(千分表可小一點,有0.1mm即可),使指針轉過半圈左右,然后轉動表圈,使表盤的零位刻線對準指針。輕輕地拉動手提測量桿的圓頭,拉起和放松幾次,檢查指針所指的零位有無改變。當指針的零位穩定后,再開始測量或校正零件的工作。如果是校正零件,此時開始改變零件的相對位置,讀出指針的偏擺值,就是零件安裝的偏差數值。

圖3 百分表尺寸校正與檢驗方法
6、檢查工件平整度或平行度時,如圖4所示。將工件放在平臺上,使測量頭與工件表面接觸,調整指針使擺動,然后把刻度盤零位對準指針,跟著慢慢地移動表座或工件,當指針順時針擺動時,說明了工件偏高,反時針擺動,則說明了工件偏低了。

工件放在V形鐵上 工件放在專用檢架上
圖4 軸類零件圓度、圓柱度及跳動
當進行軸測的時候,就是以指針擺動最大數字為讀數(最高點),測量孔的時候,就是以指針擺動最小數字(最低點)為讀數。
檢驗工件的偏心度時,如果偏心距較小,可按圖5所示方法測量偏心距,把被測軸裝在兩頂尖之間 ,使百分表的測量頭接觸在偏心部位上(最高點),用手轉動軸,百分表上指示出的最大數字和最小數字(最低點)之差的二分之一就等于偏心距的實際尺寸。偏心套的偏心距也可用上述方法來測量,但必須將偏心套裝在心軸上進行測量。

圖5 在兩頂尖上測量偏心距的方法
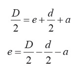
偏心距較大的工件,因受到百分表測量范圍的限制,就不能用上述方法測量。這時可用如圖6所示的間接測量偏心距的方法。測量時,把V形鐵放在平板上,并把工件放在V形鐵中,轉動偏心軸,用百分表測量出偏心軸的最高點,找出最高點后,工件固定不動。再用百分表水平移動,測出偏心軸外圓到基準外圓之間的距離a,然后用下式計算出偏心距e:

式中e——偏心距(mm);D——基準軸外徑(mm);d——偏心軸直徑(mm);a——基準軸外圓到偏心軸外圓之間最小距離(mm)。

圖6 偏心距的間接測量方法
用上述方法,必須把基準軸直徑和偏心軸直徑用百分尺測量出正確的實際尺寸,否則計算時會產生誤差。
7、檢驗車床主軸軸線對刀架移動平行度時,在主軸錐孔中插入一檢驗棒,把百分表固定在刀架上,使百分表測頭觸及檢驗棒表面,圖7所示。移動刀架,分別對側母線A 和上母線B 進行檢驗,記錄百分表讀數的最大差值。為消除檢驗棒軸線與旋轉軸線不重合對測量的影響,必須旋轉主軸180o,再同樣檢驗一次A、B的誤差分別計算,兩次測量結果的代數和之半就是主軸軸線對刀架移動的平行度誤差。要求水平面內的平行度允差只許向前偏,即檢驗棒前端偏向操作者;垂直平面內的平行度允差只許向上偏。

A 側母線位置 B 上母線位置
圖7 主軸軸線對刀架移動的平行度檢驗
8、檢驗刀架移動在水平面內直線度時,將百分表固定在刀架上,使其測頭頂在主軸和尾座頂尖間的檢驗棒側母線上(圖8位置A),調整尾座,使百分表在檢驗棒兩端的讀數相等。然后移動刀架,在全行程上檢驗。百分表在全行程上讀數的最大代數差值,就是水平面內的直線度誤差。

圖8 刀架移動在水平面內的直線度檢驗
9、在使用百分表和千分表的過程中,要嚴格防止水、油和灰塵滲入表內,測量桿上也不要加油,免得粘有灰塵的油污進入表內,影響表的靈活性。
10、百分表和千分表不使用時,應使測量桿處于自由狀態,免使表內的彈簧失效。如內徑百分表上的百分表,不使用時,應拆下來保存。
| |


