非金屬夾雜物詳解合集
什么是非金屬夾雜?
鋼中非金屬夾雜物,如氧化物、硫化物、硅酸鹽、氮化物等一般都呈獨立相存在,主要是由煉鋼中的脫氧產物和鋼凝固時由于一系列物化反應所形成的各種夾雜物組成。
非金屬夾雜的影響
非金屬夾雜物的存在,破壞了鋼基體的連續性,使鋼組織的不均勻性增大。一般來說鋼中非金屬夾雜物,對鋼的性能產生不良影響,如降低鋼的塑性、韌性和疲勞性能,使鋼的冷熱加工性能乃至某些物理性能變壞等。因此評定鋼中夾雜物類別、級別對保證鋼材質量十分重要。
分類
按夾雜物的化學成分:氧化物、硫化物及氮化物。

根據夾雜物的可塑性:塑性夾雜物、脆性夾雜物、不變形夾雜物及半塑性夾雜物。
塑性夾雜物:鋼中塑性夾雜物在鋼經受加工變形時具有良好塑性,沿著鋼的流變方向延伸成條帶狀。
脆性夾雜物:指那些不具有塑性的簡單氧化物和復雜氧化物以及氮化物。
不變形夾雜物:這類夾雜物在鑄態的鋼中呈球狀,而在鋼凝固并經形變加工后,夾雜物保持球形不變。
半塑性夾雜物:指各種多相的鋁硅酸鹽夾雜物。其中作為基底的夾雜物(鋁硅酸鹽玻璃)一般當鋼在熱加工時具有塑性,但是在這基底上分布的析出相晶體(如Al2O3、尖晶石類氧化物)的塑性很差。鋼經熱變形后,塑性夾雜物相(基底)隨鋼變形而延伸,但脆性的夾雜物相不變形,仍保持原來形狀,只是彼此之間的距離被拉長。
按按夾雜物的來源:內生夾雜物、外來夾雜物。
內生夾雜物:在鋼的熔煉、凝固過程中,脫氧、脫硫產物,以及隨溫度下降,S、O、N等雜質元素的溶解度下降,于是這些不溶解的雜質元素就形成非金屬化合物在鋼中沉淀析出,最后留在鋼錠中。內生夾雜物分布相對均勻,顆粒一般比較細小。可以通過合理的熔煉工藝來控制其數量、分布和大小等,但一般來講內生夾雜物總是存在的。
外來夾雜物:爐襯耐火材料或爐渣等在鋼的冶煉、出鋼、澆鑄過程中進入鋼中來不及上浮而滯留在鋼中稱為外來夾雜物。其特征是:外形不規則、尺寸比較大,偶爾在這里或在那里出現,正確的操作可以避免或減少鋼中外來夾雜物的入侵。
什么是鋼材純凈度?
經過對鋼中非金屬夾雜物的類型、等級顯微檢測評定后,并通過統計計算,得出一個相對宏觀的鋼材純潔度級別(或指數),即鋼材的純凈度,為較全面評價鋼材質量提供依據。DIN 50 602標準中方法K所表達的就是一種純潔度級別。
計算1:
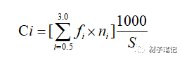
ISO 4967標準的附錄C給出了相關的純潔度級別Ci 的公式:
式中:
fi —— 權重因數,各夾雜物級別的權重因數如下:

ni —— i 級別的視場數;
S —— 試樣的總檢驗面積,單位為每平方毫米(mm2)
計算2:數點法
通過在一個視場內劃分一定量格子,通過檢測夾雜所占多少格來計算純潔度。該方法相對客觀,可適于圖像處理。JIS G 0555的附錄1介紹了這種方法。該標準規定了純潔度d(%)檢測下列三種夾雜物:
A類夾雜物: 加工時粘性變形(硫化物、硅酸鹽等)的夾雜物。
B類夾雜物: 夾雜物在加工方向成集團,并不連續排列的粒狀夾雜物(氧化鋁等)。
C類夾雜物: 不粘性變形的不規則分布(粒狀氧化物等)的夾雜物。
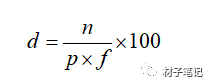
試樣的通常寬15mm,高20mm,即拋光面積300mm2,夾雜物檢驗通常采用400倍的放大倍率,在顯微鏡的目鏡上,插進有縱橫各20根格子線的玻璃板,在顯微鏡載物臺上檢查被檢面,統計各類夾雜物所占的格數。測量的視場數以60為原則,至少需30個視場以上。根據視場內玻璃板上的總格子數,視場數及夾雜物所占的格數,按下式算出夾雜物所占的面積百分比,判斷該鋼的清潔度d(%)。

式中:p——在視場內玻璃板上的總格子數;
f——視場數;
n——由f個視場里的所有夾雜物被占的格數。
記錄方法:
例如:dB60×400=0.08%,表示:在300 mm2試面上,在400倍下,檢測60個視場,B類夾雜物的含量為0.08%。
鋼中非金屬夾雜物含量顯微測定方法基本為標準評級圖法以及相應的圖像分析法,較常用標準為:GB/T 10561、ISO 4967、JIS G 0555,其中GB/T 10561和JIS G 0555基本都源自ISO 4967,主要適用于壓縮比≥3的軋制或鍛制鋼材。本文根據ISO 4967記錄筆記。
夾雜物怎么評定?
評級分類
該標準把鋼中非金屬夾雜物分為A、B、C、D、DS等五大類,其中又把A類~D類按夾雜物粗、細(根據直徑)分為兩類評定,用字母e表示粗系的夾雜物,每類夾雜物隨含量(遞增)級別從0.5級至3級,級差為0.5級,共6個級別。
非常規類型夾雜物的評定也可通過將其形狀與上述五類夾雜物進行比較,并注明其化學特征,例如:球狀硫化物可作為D類夾雜物評定,但在實驗報告中應加注一個下標(如Dsulf表示球狀硫化物;Dcas表示球狀硫化鈣;DRES表示球狀稀土硫化物;DDup表示球狀復相夾雜物,如硫化鈣包裹著氧化鋁)。沉淀相類如硼化物、碳化物、碳氮化合物或氮化物的評定,也可以根據它們的形態與上述五類夾雜物進行比較,并按上述的方法表示它們的化學特征。
評定通則
試樣的拋光面面積應約為200mm2,夾雜物檢驗通常采用100倍的放大倍率,每個觀察視場的實際面積為0.50mm2。將每一個觀察的視場與標準評級圖譜相對比,如果一個視場處于兩相鄰標準圖片之間時,應記錄較低的一級。
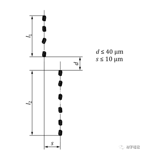
對于A、B和C類夾雜物,用l1和l2分別表示兩個在或者不在一條直線上的夾雜物或串(條)狀夾雜物的長度,如果兩夾雜物之間的縱向距離d小于或等于40μm且沿軋制方向的橫向距離s(夾雜物中心之間的距離)小于或等于10μm時,則應視為一條夾雜物或串(條)狀夾雜物,如果一個串(條)狀夾雜物內夾雜物的寬度不同,則應將該夾雜物的最大寬度視為該串(條)狀夾雜物的寬度。


評定流程圖

檢測與結果表示
實際檢測時,根據需要選用下列A法或B法,其中A法較為常用。
A法:應檢驗整個拋光面。對于每一類夾雜物,按細系和粗系記下與所檢驗面上最惡劣視場相符合的標準圖片的級別數。如果一個視場處于兩相鄰標準圖片之間時,應記錄較低的一級。在每類夾雜物代號后再加上最惡劣視場的級別,用字母e表示出現粗系的夾雜物,s表示出現超尺寸夾雜物。例如:A2,B1e,C3,B2.5s,DS0.5。對于非傳統類型的夾雜物下標應注明其含義。
B法:應檢驗整個拋光面,最少檢驗100個視場。試樣每一視場同標準圖片相對比,每類夾雜物按細系或粗系記下與檢驗視場最符合的級別數,然后計算出每類夾雜物和每個系列夾雜物相應的總級別數itot和平均級別數imoy。
例如:A類夾雜物
級別為0.5的視場數為n1;
級別為1的視場數為n2;
級別為1.5的視場數為n3;
級別為2的視場數為n4;
級別為2.5的視場數為n5;
級別為3的視場數為n6;
則:

式中:N為所觀察視場的總數。
(文章來源:材子筆記)
更多關于 非金屬夾雜物的文章:


